基于华润微电子12吋功率器件晶圆产线的先进工艺能力,华润微电子功率器件事业群(以下简称PDBG)快速开发并成功推出第七代(Trench FS Ⅶ)高性能IGBT系列产品,覆盖650/750/1200V电压平台,为光伏逆变器及储能系统、UPS、SVG等应用领域提供了有效的提频增效解决方案。

华润微电子
产品详情
华润微电子功率器件事业群(以下简称PDBG)第七代IGBT采用微沟槽工艺,通过优化元胞设计和寄生电容参数,同时在更薄芯片的基础上调制背面FS层轮廓,有效降低导通压降和开关损耗,显著提升高温特性、可靠性、鲁棒性及并联适配性。
采用微沟槽工艺的IGBT结构
PDBG第七代IGBT产品优势
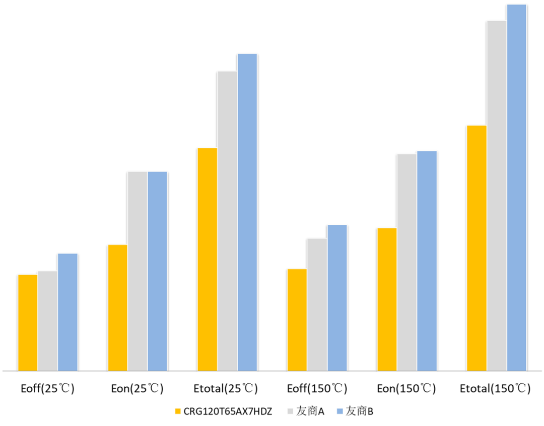
以上二图所示650V 120A器件为例,解析PDBG第七代IGBT的正向导通压降和开关损耗。在常温及高温情况下,相较于行业同规格产品,第七代IGBT具有更优的饱和压降,更小的温度变化率。在Ic=120A条件下,第七代IGBT在常/高温下Eon、Eoff、Etotal均为最优,总开关损耗较友商低至少15%。由此,PDBG第七代IGBT在温升改善和效率提升方面展现出明显的性能优势,高度适配光伏、储能应用场景。
正向导通压降Vcesat对比
开关损耗对比
PDBG第七代IGBT芯片搭配高性能第三代FRD,产品Vth、Vcesat、Vf 等参数一致性表现优异,高压开关波形稳定平滑,确保并联应用高可靠性。产品已在储能及光伏逆变器、UPS等领域完成验证,并实现头部客户批量供货。 在光伏应用领域,PDBG可提供全套功率器件解决方案。以一台20kW裂相机T型三电平光伏逆变器为例,其逆变拓扑中共使用8颗第七代IGBT,分别为4颗650V 120A H系列IGBT和4颗750V 120A H系列IGBT(见下表)。
T型三电平光伏逆变器拓扑图
△光伏逆变器拓扑器件表
依托12吋先进工艺平台与持续的研发投入,PDBG快速完成第七代IGBT产品系列化,已拓展650V、750V、1200V三个电压平台,电流覆盖40A~160A,该系列产品可有效降低系统损耗、显著提升系统效率,助力工业应用提频增效。PDBG第七代IGBT系列化产品的推出既丰富了公司IGBT产品矩阵,更标志着公司具备量产高端IGBT的能力。未来,PDBG将以核心技术突破驱动产品迭代,以全流程品控保障产品性能稳定,以多元产品满足不同领域客户需求,以高效响应的服务为客户创造价值。
产品列表